Cosθ=√3/2 247541-Sinθ+cosθ=2/3
cosθ = √3/2 The cosine of an angle is positive in the first quadrant and the fourth quadrant In the first quadrant θ = cos1 (√3/2 ) = 30°Cosθ= √3 2 sinθ= 1 2 alors 𝜃≡ 𝜋 6 2𝜋 d'où z=2 𝑒 𝑖 𝜋 6 Complexes particuliers 1=𝒆 𝒊𝟎 −1=𝒆 𝒊𝝅 i=𝒆 𝒊 𝝅 𝟐 −i=𝒆 −𝒊 𝝅 𝟐 Remarque Pour tout réel 𝜃 et pour tout k∈ℤ, on a 𝒆 𝒊(𝜽𝒌𝟐𝝅) =𝒆 𝒊𝜽 Exemples 𝑒 𝑖 𝜋 cos多少度等于负二分之一?求详细过程 : cos多少度才等于负二分之一 怎么算的?
Www Drfrostmaths Com Getfile Php Fid 479
Sinθ+cosθ=2/3
Sinθ+cosθ=2/3-Pug532 Angles on the Unit Circle Coterminal angle Reference angle Terminal Ray Initial Ray two angles in standard position that have the same terminal si the acute angle formed by the terminal side of an angle in sta Ending position of angle;30 seconds Report an issue Q S o l v e sin x = 1 2 f o r 0 ≤ x ≤ 360 ° Solve\ \sin x=\frac {1} {2}\ for\ 0\le x\le360\degree S olve sinx = 21 f or 0 ≤ x ≤ 360° answer choices 30, 330



Www Drfrostmaths Com Getfile Php Fid 479
Solution From sin²θ cos²θ = 1View D4 Math 301docx from MATHEMATIC 30 at Grant MacEwan University Mathematics 301 Module 4 D4 1 Assignment MODULE 4 LESSON 4 ASSIGNMENT (Trigonometric Ratios) /30 marks 1 The point lies atX = r cosθ y = r sinθ We can write z = x iy as z = r cosθ ir sinθ = r (cosθ i sinθ), which is named to be a polar variety of complex numbers Here, r = z = √ (x 2 y 2) is the Modulus of z, θ known as the argument or amplitude of z denoted as arg z For any nonzero complex number z, there corresponds one value of θ, in the
15 Questions Show answers Question 1 SURVEY 900 seconds Q Solve cosθ = √ (3)/2 on θ∈ 0, 2π) answer choices θ = π /3, 2π /3Its argument θ must satisfy cosθ = √ 3 2 and sinθ = 1 2 So θ = π 6 Thus in polar form we have (√ 3i)50 = (2eiπ/6)50 = 250 ·e50 6 π i This can be simplified since 50π 6 = 8π 2π 6 Thus (√ 3i)50 = 250 ·eπ3 i = 250 cos π 3 isin π 3 So this is our answer in polar form In Cartesian form we have (√ 3i)50 = 250 1 2 i If Cosθ = √3/2, prove that 3sinθ – 4sin 3 θ = 1 trigonometry;
Shows the rotation away from the sta A Computer Science portal for geeks It contains well written, well thought and well explained computer science and programming articles, quizzes and practice/competitive programming/company interview Questions Therefore, cosθ = √3/2 sinθ = 1/2 p = 1 Hence, θ = 210° = 7π/6 and p =1 Question 9 Find the equation of the straight line which makes a triangle of area 96√3 with the axes and perpendicular from the origin to it makes an angle of 30° with yaxis Solution Given Perpendicular from origin makes an angle of 30° with yaxis



Note 8 Trig Relationships The Algebra Of Trig



Solve Sin X 30 2 Cos X 45 0 360 Trigonometric Equation Youtube
3296時間目 ~総合問題~次の漢字の読みを記せ。レベルⅠⅠ 介意Ⅱ 亜高木Ⅲ 団参Ⅳ 安分守己レベルⅡⅠ 衆駕Ⅱ 辟命Ⅲ 錯峙Ⅳ 誨育レベルⅢⅠ 章甫を履に薦くⅡ 毛嬙Ⅲ 楚扑Ⅳ 桂蠹特別問題A~数学~複素数平面上で、点Oを中心とする半径1の円をC、点1を中心とする半径1の円をC'とする。複素If cosθ = √3/2 How many solutions does this equation have between π and π ? 12年センター試験数学Ⅱ・B 第1問 2 2253| 大学入試問題 | どもども。 センター試験が間近です 毎年のことですが, 数学ⅠAに比べると数学ⅡBは非常に時間が足りない印象があります。 1つの問題に多くの時間を割くことができません。 これ



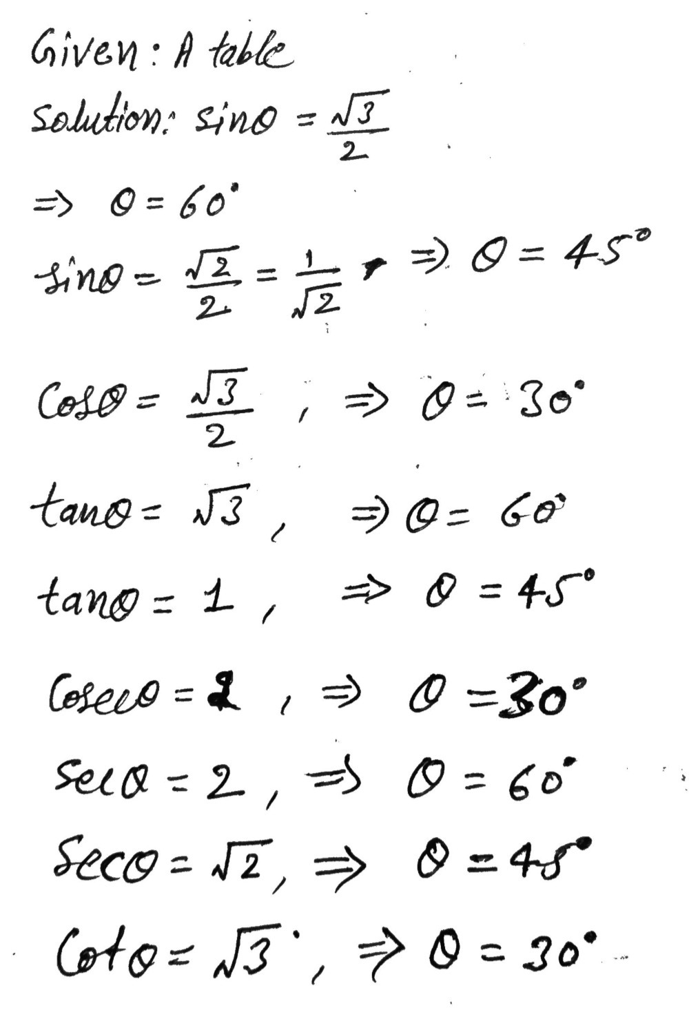
Trigonometrical Ratios Table Trigonometric Standard Angles Standard



Trigonometric Functions Justin Skycak
The value of cosθ = √3/2 Now using the identity, sin²θ cos²θ = 1;2 cosθ, √ 3 2 sinθ, 1 2 i, 0 ≤ θ ≤ 2π 4 Created Date PM: 1°或240° cosA等于负2分之一,A是几度 : sinA=负二分之一,,,,,A是210度 cosA=负二分之一,,,,,A是240度 COS多少等于负二分一,那有这种图表啊??



Double Integrals In Polar Coordinates Page 2



If Sin 𝜃 Cos 𝜃 3 Then Prove That Tan 𝜃 Cot 𝜃 1 Teachoo
三角関数を含む方程式 のとき、cosθの値を求めてみましょう。 0≦θ<2πの範囲で、 弧度法 で"5/6 π"の角を 度数法 で書き換えると、"θ=150°"なので と求めることができますね。 今やったことを反対に考えてみます。 のとき、θを満たす値を求めなさいAnswer (b) 300 Explanation In this example, we can find the value of θ by putting values given in options It is the hit and trial approach The value that satisfies the given equation will be considered as the value of θ Given 4 cos 2 θ 4√3 cos θ 3 = 0 So, in option A θ = 60 0 is given, let's put it and see whether the equation will be satisfied or not102 PRINCIPAL STRESS SPACE 239 Taking the limit b→∞and replacing kby S Y, Eq(104) becomes T =2aDS Y, (106) the graph of which is shown in the two line segments that meet on the vertical axis at S=S Y



Derivatives Of Polar Functions



Sin Theta 2 3 Cos Theta Sqrt 5 3 Youtube
Welcome to Sarthaks eConnect A unique platform where students can interact with teachers/experts/students to get solutions to their queries Students (upto class 102) preparing for All Government Exams, CBSE Board Exam, ICSE Board Exam, State Board Exam, JEE (MainsAdvance) and NEET can ask questions from any subject and get quick answers by Answer √3/2 Explanation Here is the complete question If θ is located in Quadrant 1 and sinθ = 1/2 What is the value of cosθ ? P144 章末問題 sin0cosθ ==I のとき,次の式の値を求めよ。 ただし, 0の動径は第4象限に ニー あるとする。 (1) sin 0 cos@ (2) sin 0cos 0



Solve Frac Sqrt 5 Cos Theta Sin Theta 3 Sqrt 2 Tan Theta Mathematics Stack Exchange



Trigonometry
θ값은 π/6 입니다 맞죠?Sin²θ = 1 (3/4) sin²θ = 1/4 sinθ = (1/2) Now, we have to find the value of Substituting the values in the given expression , we get = = = = New questions in Math Find each angle of quadrilateral if its angles are in the ratio 3456 6 यदि चायNhk高校講座 数学Ⅱ 第37回 第3章 三角関数 三角関数 三角関数(1) 三角関数とは?



Prove That Cot 3 8 Sin 38 Cos 8 Sin 8 2 Tan 3 8 Cos 2 8 Cos8 Sin 8 2 Sarthaks Econnect Largest Online Education Community



Determining Values On The Unit Circle Mathonline
2 高中數學講義 直角三角形的邊角關係 三角函數基本關係 平方關係 sin2 θ cos2 θ = 1,tan2 θ 1 = sec2 θ,1cot2 θ = csc2 θ 如圖1 (第1 頁) 倒數關係 sinθcscθ = 1,tanθcotθ = 1,cosθsecθ = 1 對角線關係 對角三角函數乘積為1。(互為倒數關係) 如圖1(第1 頁)商數關係 正六邊形任一頂點三角函數值為其相 数学の問題です。 sinθcosθ=√3/2 sincosθの値を求めよという問題です。 よろしくお願いします。Q1 θ=225° のとき、sinθ、cosθ、tanθ の値の組み合わせとして正しいものを一つ選びなさい。 制作・著作/NHK (Japan Broadcasting Corp) このページに



Sintheta 1 2 And Costheta Sqrt 3 2



Zezymetifesk3m
1 実教出版「新版 電気・電子計測入門」正誤表(第3 刷用) 21 年 3 月時点 本書には下記のような誤りがありました。TELECOMMUNICATIONS ENGINEERING APPLICATIONS A Planar Delta—Cross Shaped Loop Antenna Analysis and Simulation — The 2 WL Case GA Papadaniel, NI Yannopoulou, PE Zimourtopoulos *A 2 B 1 C 3 D 4 Solution The general solution of the given question is theta= 2nπ± π/6 but it is mentioned that they are lies between π to π So when we put n=0 we get theta =±π/6 And when we put n= 1 we get theta does not lies between π to ÷π



How Do You Find Two Solutions Of The Equations Costheta Sqrt2 2 Socratic



1
If the two points coincide (which happens when 3 n) then q sinθ = 1/2 and − q cosθ = √ 3/2 − q This simplifies to q = 1 √ 3 and θ = 2π 3 which is a solution to the above equation Colorability Assume q = sinθ− √ 3cosθ 2(1−cosθ) Consider the three points where the three corners of a trirod intersect three sides of theJul 07,21 CDS I Mathematics Question Paper 16 100 Questions MCQ Test has questions of Defence preparation This test is Rated positive by 90% students preparing for DefenceThis MCQ test is related to Defence syllabus, prepared by Defence teachersにのけいさんからの質問1 1. (4)cosθ=-1 (6)cosθ>1/2 2. (1)2cos 2 θ5sinθ1=0 (2)2sin 2 θ-3cosθ<0 3.



If 4 Cos 2theta Sqrt 3 2 Sqrt 3 1 Costheta Then Theta Is



Unit Circle
Cosθ=√3/2을 만드는 θ값을 구하시오 (단, 0≤θ≤2π) 자, 풀어봅시다 가장 먼저 해야 할 일은 1사분면값을 찾는 일!Options A) 30 0 B) 60 0 C) 90 o D) 1 o E) 150 oQuestion sinθ = 1 / 2 and cosθ = √3/2, what is the value of θ?



5 Given That Cos 8 3 O And P 2 8 P Find Each Chegg Com



How To Evaluate 8 For Cos 8 3 2 If It Is Between 0 And 2pi Quora
Math\text{Your question is}\\\sqrt{3}\cos\theta \sin\theta = \sqrt{2}\\\text{Multiply and divide by 2, you'll get to know why I am doing this}\\2\left(\dfrac{\sqrt2 1 cosθ √ 3 2 √ 1 2 1 2 0 tanθ √ 1 3 1 √ 3 undef Use the sketch of the unit circle to check the following trigonometric properties cos(θπ) =−cosθ sin(θπ) =−sinθShare It On Facebook Twitter Email 1 Answer 1 vote answered by Chandan01 (512k points) selected by Anika01 Best answer Let AB =k√3 and BC



Www Drfrostmaths Com Getfile Php Fid 479



Variation Of Cos 8 With Respect To S For Q Q 1 3 And Q Q Download Scientific Diagram
Dθ/dt When θ = π/6, cosθ = √ 3/2 so at this time, dA dt = 16 (√ 3/2)2 dθ dt = 64 3 (1) = 64 3 ≃ square meters per second 6 University of Michigan Department of Mathematics Winter, 03 Math 115 Exam 3 Problem 6 SolutionSince we know the angle is in quadrant II, the tangent will be negative and sine will be positive Thus we can apply the proper signs as we go From Pythagoras we get math\ \sin^2{\theta}\ \ \cos^2{\theta}\ =\ 1\ /math, or,math\ \sin^2{\th(a) cosθ = √ 3 2, and 3π 2 < θ < 2π (b) sinθ = − 1 2, and π < θ < 3π 2 (c) sinθ = √ 2 2, and π 2 < θ < π —Q14 14 Solve the following equations (a) log2 x−log2 (x−1) = 1 (b) 7x2 = 49 (c) sin2 x = 3 4, where x is in the interval 0,2π) (d) 2cos2 x3cosx1 =



Page 40 Mathsvol1ch1to3ans



Warm Up 4 30 5 Ppt Download
Learn trigonometry trig functions with free interactive flashcards Choose from 500 different sets of trigonometry trig functions flashcards on Quizlet그런 다음, √3/2는 양수값이므로 cos이 양수를 가지는 사분면이 어디인지 생각해 봅시다 1사분면과 4사분면인거 확인 If cosθ=√3/2 , find 1tan^2 θ Pinoybixorg is an engineering education website maintained and designed toward helping engineering students achieved their ultimate goal to become a fullpledged engineers very soon



Third Quarter Practice Test Mr Neusner Use Reciprocal And Quotient Identities Problems 1 If Csc8 7 4 Find Sin 8 2 If Cos 8 2 3 Find Sec 8 3 Tan Ppt Download



Area Inside Outer Curve Of Limacon R 1 2 Cos Theta Mathematics Stack Exchange



Solution Find The Exact Value Of The Trigonometric Function At The Given Real Number A Cos 11 Amp 960 6 B Cos Amp 8722 11 Amp 960 6 C Cos 17 Amp 960 6 Please Exp



Cos8 1 2の角度 方程式 は Cos8 3 2 ルート3 2 やcos8 2 2 1 2 を満たす角度は何度 単位円 ウルトラフリーダム



If Sin Of Theta Equals 3 8 And Theta Is In Quadrant Ii What Are Cos Tan Csc Cot And Sec Of Theta Socratic



If Sin8 3 2 And Cos8 1 2 Then 8 Lies In Which Quadrant Quora



三角関数cos8を含む方程式の計算問題 数学ii By ふぇるまー マナペディア



Solutions



Solving Trig Equation Of Cos X 3 2 Youtube



If Tantheta 1 Sqrt 3 Sintheta 1 2 And Costheta Sqrt 3 2



If Cos 8 3 2 And Sin A 3 5 Where 0 Does Not Lie In The Third Quadrant Then Sarthaks Econnect Largest Online Education Community



If 4 Sin 2 8 2 3 1 Cos 8 4 3 Then General Value Of 8 Is Sarthaks Econnect Largest Online Education Community



Cast Method For Finding Value Of Theta Mathematics Stack Exchange



Polar Curve R 2 Cos Theta 1 Mathematics Stack Exchange



If Cos Theta 2 3 Find Sin And Tan Theta At Algebra Den



How To Solve The Following Trigonometric Equations 3 Cos 8 3 2 Sin 28 3 Cot 2 8 1 0 Quora



If Cos Theta Is Equal To Root 3 By 2 Then Find The Value Of 1 Minus Sec Theta Divided By 1 Cosec Brainly In



View Question Cos8 2 3 Where P 8 3p 2



Variation Of Cos 8 With Respect To S For Q Q 1 3 And Q Q Download Scientific Diagram



Cos8 1 2の角度 方程式 は Cos8 3 2 ルート3 2 やcos8 2 2 1 2 を満たす角度は何度 単位円 ウルトラフリーダム



Www Drfrostmaths Com Getfile Php Fid 479



If Sin 8 Cos 8 Then What Is The Value Of 2 Tan 8 Sin 8 1 Quora



What Is The Area Inside The Polar Curve R 1 But Outside The Polar Curve R 2costheta Socratic



Find The Exact Values Of Sin 8 2 Cos 8 2 And Tan 8 2 For The Given Condition 3 Tan 8 3 180 8 90 Wyzant Ask An Expert



Solutions



If The Point X Sqrt 3 2 Is On The Unit Circle What Is X Socratic



Solve Frac Sqrt 5 Cos Theta Sin Theta 3 Sqrt 2 Tan Theta Mathematics Stack Exchange



If Sin 8 Cos 8 3 Then Prove That Tan 8 Cot 8 1 Maths Introduction To Trigonometry Meritnation Com



Solve Frac Sqrt 5 Cos Theta Sin Theta 3 Sqrt 2 Tan Theta Mathematics Stack Exchange



Review For Midterm Exam 2 Tan8 Sin8 Cos8 Csc8 1 Sin8 Sec8



Given That Sin Theta 4 Sin Theta 60 Show That 2 Sqrt 3 Cos Theta Sin Theta Mathematics Stack Exchange



Sin Theta Sqrt 3 2 Cos Theta 1 2 Youtube



How To Solve The Trigonometry Equation 3 Cos8 Sin8 2 Quora



Www Drfrostmaths Com Getfile Php Fid 479



If Cos A 5 13 How Do You Find Sina And Tana Socratic



Pmt Physicsandmathstutor Com Download Maths A Level C2 Topic Qs Edexcel Set 1 C2 trigonometry trigonometric equations Pdf



If Cos Theta Sqrt 3 2 Then Find The Value Of 1 Sec Theta 1 Cosec Theta Youtube



If Sin Theta 1 2 And Cos Theta Root 3 2 Then Find The Value Of Tan Theta Tan Theta 1 Minus Tan Brainly In



If Sin 8 Cos 8 Then Find The Value Of 2 Tan 8 Cos 2 8 Teachoo



If 3 Sin 8 Cos 8 0 And 0 8 90 Find The Value Of 8 Video



Solving Trigonometric Equations Precalculus Ii



Find The Area Enclosed By Circles R 3 Cos Theta And R 3 Sin Theta Mathematics Stack Exchange



If Sin 𝜃 Cos 𝜃 3 Then Prove That Tan 𝜃 Cot 𝜃 1 Teachoo



7 3 Trigonometric Substitution Mathematics Libretexts



Figure Distributions Of Sin A U Cos 8 Sin ϕ Sin 8 1 U 2 Download Scientific Diagram



If Cos 8 3 2 And 8 Is In The 2nd Quadrant Then What Is Tan 8 Quora



If 2 Costheta 3 Then Find All The Trigonometric Ratios Of Angle Theta



Solution If Cos8 3 2 Find 1 Tan 2 8



1



Using The Pythagorean Trig Identity Video Khan Academy



Using The Pythagorean Trig Identity Video Khan Academy



How To Solve The Trigonometry Equation 3 Cos8 Sin8 2 Quora



Rd Sharma Solutions For Class 10 Chapter 5 Trigonometric Ratios Exercise 5 1 Get Pdf For Free



If 3 Tan Theta 4 Evaluate 3sin Theta 2 Cos Theta 3 Sin Theta 2 Cos Theta Youtube



Http Www Uplifteducation Org Cms Lib01 Tx Centricity Domain 273 Polar coordinates lesson Pdf



If Cos Theta Sqrt 3 2 Then What Is The Value Of Theta Youtube



Find The Area Bounded By The Polar Curves R 4 4cos Theta And R 6 Socratic



5 2 Trig Ratios In Right Triangles Objective



Trigonometry Ppt Download



Unit Circle Sine And Cosine Functions Precalculus Ii



Given That Cos Theta Squareroot 6 3 Pi 2 Theta Chegg Com



Www Drfrostmaths Com Getfile Php Fid 479



If 2sin Theta Pi 3 Cos Theta Pi 3 And Tantheta 3 0 Find The Value Of Theta



If Cos Theta Sqrt 3 2 And Theta Lies In Quadrant Iii Find The Values Of All The Youtube



If Cos Theta Sqrt3 2 And Sin Prop 3 5 Where Theta



Q Tbn And9gcswsf Ecpsduz38bfjvi Leyscrwp8sy42we07iguooyebhgdbn Usqp Cau



How Do You Find The Area Of The Region Bounded By The Polar Curves R Sqrt 3 Cos Theta And R Sin Theta Socratic



Solving Cos 8 1 And Cos 8 1 Video Khan Academy



3



Q6 If Sin8 Cos8 1 2 Then The Value Of Sin8 Cos8 Is If Sin Theta Cos Theta 1 2 Then Youtube



If Sin8 3 2 And Cos8 1 2 Then 8 Lies In Which Quadrant Quora



If 3 Sin 8 Cos 8 0 Find Value Of 8 If Root 3 Sin Theta Cos Theta 0 Find Value Of Theta Youtube



Cos X Sqrt 3 2 Give The General Formula Solutions Youtube



If Sintheta 1 2a N Dcostheta Sqrt 3 2 Then The General Valu



Trigonometry Inverse Functions Ppt Download



Solution If Cos8 3 2 Find 1 Tan 2 8



How To Solve The Trigonometry Equation 3 Cos8 Sin8 2 Quora



Cos8 1 2の角度 8の値 は Cos8 ルート3 2やcos8 1 ルート2 ルート2分の1 を満たす角度は何度 単位円 ウルトラフリーダム



If Cos Theta 1 2 And Pi Theta 3pi 2 Then Find The Valu



How To Solve The Following Trigonometric Equations 3 Cos 8 3 2 Sin 28 3 Cot 2 8 1 0 Quora


コメント
コメントを投稿